정상 상태 (steady state) 에서의
- 질량 보존의 법칙
질유량 변화 = 밀도 x 단면적 x 속도 = 일정

- 에너지 보존의 법칙

Q : 시스템으로 들어간 열량
W : 시스템이 한 일
delta E : 시스템의 총에너지 변화
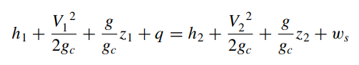
관내 유동으로 표현하면

h : 엔탈피 (enthalpy)
gc : SI 유닛에서는 1
q : 시스템으로 들어간 단위 질량당 열량
ws : 시스템으로 들어간 단위 질량당 일량

u : 내부 에너지
p : 압력
v : 단위질량당 부피, 비체적 (specific volume)
출처
Fundamentals of Gas Dynamics, R. D. Zucker.
'이론' 카테고리의 다른 글
| <인치 규격> 소켓 머리 볼트와 육각 렌치 사이즈 (0) | 2020.08.03 |
|---|---|
| 유동의 초킹, 쵸킹 (choking) 혹은 choked flow (0) | 2020.07.10 |
| 디젤 싸이클 (Diesel cycle) (0) | 2020.06.25 |
| 오토 싸이클 (Otto Cycle) (0) | 2020.06.24 |
| 엔트로피 증가량 계산식 (0) | 2020.06.23 |